| Hangzhou AquaSust Water Technology Co., Ltd. Head ofice: #2808, Baiyue Center, Linping, Hangzhou, Zhejiang, China M:+86 152 6746 2807 Email: [email protected] website: www.nihaowater.com www.chinambbr.com www.aquasust.com www.aquasustfactory.com |
||||||||||
Oxidation Ditch Process Design Calculator |
||||||||||
| Blue block is the design datameter: be filled in Brown:calculate process data Red:last result for your process |
||||||||||
| 1.Oxidation Ditch Process Design parameters: | ||||||||||
| Design treatment watervolume Q= | 300 | m³/d= | 12.5 | m³/h | ||||||
| Intake water quality: | Water quality ofeffluent | |||||||||
| Inlet water CODCr= | 1620 | mg/L | CODcr= | 324 | mg/L | |||||
| BOD5=S0= | 840 | mg/L | BOD₅=Sz= | 126 | mg/L | |||||
| TN= | 250 | mg/L | TN= | 30 | mg/L | |||||
| NH4+-N= | 180 | mg/L | NH₄⁺-N= | 18 | mg/L | |||||
| Alkalinity SALK= | 280 | mg/L | pH= | 7.2 | ||||||
| SS= | 180 |
mg/L | SS=Ce= |
20 | mg/L | |||||
f=MLVSS/MLSS= |
0.7 | Mixture concentration X= | 4000 | mgMLSS/L | ||||||
| Minimum sludge age is used | 30 | d | Dissolved oxygen concentration of aeration tank effluent |
2 | mg/L | |||||
| Attenuation factor Kd= | 0.05 | d-1 | Activated sludge yield coefficient Y= |
0.5 | mgMLSS/mgBOD₅ | |||||
| Average summer temperature T1= | 25 |
℃ | Denitrification rate constant qdn,20 at 20℃= |
0.07 | kgNO₃⁻-NkgMLVSS | |||||
| Average winter temperature T2= | 15 | ℃ | Denitrification temperature correction factor= |
1.09 | ||||||
| Residual alkalinity | 100 | mg/L | Nitrification reaction safety factor K= | 2.5 | ||||||
| Requiredalkalinity | 7.14 | mg alkalinity/mgNH4-N oxidation | Oxygen required for nitrification | 4.6 | mgO2/mgNH₄-N | |||||
| Output alkalinity | 3.57 |
mg alkalinity/mgNO3+-N reductior |
Oxygen available for denitrification | 2.6 | mgO2/mgNO₃⁺-N | |||||
| Dissolved oxygen concentration during denitrification | 0.2 | mg/L | If the biological sludge contains about | 0.1 | Nitrogen for cellular synthesis | |||||
| 2. Design Calculation | ||||||||||
| (1)Aerobic zone volume calculation | ||||||||||
![]() |
459 | m³ | Aerobic tank hydraulic retention time t1= | 1.53 | d | 36.72 | h | |||
| 3.Volume calculation of hypoxic zone | ||||||||||
| (1)Oxidation ditch biological sludge production | ||||||||||
![]() |
42.84 | kg/d | ||||||||
| (2)For cell ynthesisTKN= | 5.31 | kg/d | That is,there are TKN×1000/300 in TKN= | 17.71 | mg/L | |||||
| Therefore,the [NH4-N]to be oxidized= | 144.29 | mg/L | Reduction required [NO3+-N]= | 43.29 |
mg/L | |||||
| (3)Denitfication rate | ||||||||||
![]() |
0.036 | kg/(kg.d) | ||||||||
| (4)Volume of hypoxic zone V2 | ||||||||||
![]() |
425 | m³ | Anoxic tank hydraulic retention timet₂= | 1.42 | d= | 33.98 | h | |||
| 4. Total tank volume of oxidation ditch | ||||||||||
| V=V₁+V₂= | 884 | m³ | Total hydraulic retention time t= | 2.95 | d | |||||
| The design takes V= | 900 | m³ | ||||||||
| Design effective water depth h= | 3.5 | m | Design width b= | 5.5 | m | |||||
| Then the total length of the required ditch L= |
46.75 | m | Take the length of the linear trench section = |
22.5 | m | |||||
| Actualeffective volume = | 11.98.87 | m³ | Actual dwelltime t'= | 4.0 | d | |||||
| 5. Alkalinitybalancecalculation | ||||||||||
| (1)Nitrification consumes alkalinity= | 1030.25 | mg/L | ||||||||
| (2)Denitrification produces alkalinity= | 154.54 | mg/L | ||||||||
| (3)Removal of BOD5 produces alkalinity | 71.4 | mg/L | ||||||||
| (4)Residual alkalinity= | 175.69 |
mg/L | ||||||||
| 6. Calculation of actual oxygen demand | 7.Calculation of standard oxygen demand |
|||||||||
| (1)Carbonation Oxygen Demand(COD) | Press set conditions a= | 0.85 | β= | 1 | ||||||
![]() |
254.17 | kg/d | Cs(20)= | 9.17 | θ= | 1 | ||||
| Cs(25)= | 8.38 | |||||||||
![]() |
678.83 | kg/d | ||||||||
| (2)Nitrifiction Oxygen Demand(NOD) | ||||||||||
| D₂=4.5×Q(N-Ne)= | 218.7 | kg/d | ||||||||
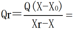
| (3)Oxygen production by denitrification | 8.Sludge Return Flow Calculation | |||||||||
| D3=2.6×Q×Nt= | 33.76 | kg/d | According to the set condition X₀= | 250 | mg/L | Xr= | 10000 | mg/L | ||
| From QXO+Qr=(Q+Qr)X we get | ||||||||||
| (4)Nitrifying residual sludge NH4-Noxygen demand | ![]() |
187.5 | m³/d | |||||||
| D4=0.56×Wv×f= | 16.79 | kg/d | ||||||||
| (5)Total Oxygen | ||||||||||
| D=D1+D2-D3-D4= | 422.31 | kg/d | 9.Residual sludge volume | |||||||
W=Wv+X₁Q-XeQ= |
27.54 | m³/d | ||||||||
| Take the sludge water content P= | 99% | |||||||||
![]() |
3.44 | m³/d | ||||||||


English
عربى
Español














